State Relations for Gases and Liquids
All gases at high temperatures and low pressures are in good agreements with ‘perfect gas law' given by,
| (1.1.15) |
where, R is the characteristic gas constant,
is the universal gas constant and M is the molecular weight.
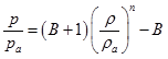
Liquids are nearly incompressible and have a single reasonable constant specific heat. Density of a liquid decreases slightly with temperature and increases moderately with pressure. Neglecting the temperature effect, an empirical pressure- density relation is expressed as,
![]() |
(1.1.16) |
Here, B and n are the non-dimensional parameters that depend on the fluid type and vary slightly with the temperature. For water at 1 atm, the density is 1000 kg/m3 and the constants are taken as, B = 3000 and n = 7
Classifications of Fluid Flows
Some of the general categories of fluid flow problems are as follows;
1. Viscous and Inviscid flow: The fluid flow in which frictional effects become signification, are treated as viscous flow. When two fluid layers move relatively to each other, frictional force develops between them which is quantified by the fluid property ‘viscosity'. Boundary layer flows are the example viscous flow. Neglecting the viscous terms in the governing equation, the flow can be treated as inviscid flow.
2. Internal and External flow: The flow of an unbounded fluid over a surface is treated as ‘external flow' and if the fluid is completely bounded by the surface, then it is called as ‘internal flow'. For example, flow over a flat plate is considered as external flow and flow through a pipe/duct is internal flow. However, in special cases, if the duct is partially filled and there is free surface, then it is called as open channel flow. Internal flows are dominated by viscosity whereas the viscous effects are limited to boundary layers in the solid surface for external flows.
3. Compressible and Incompressible flow: The flow is said to be ‘incompressible' if the density remains nearly constant throughout. When the density variation during a flow is more than 5% then it is treated as ‘compressible'. This corresponds to a flow Mach number of 0.3 at room temperature.
4. Laminar and Turbulent flow: The highly ordered fluid motion characterized by smooth layers of fluid is called ‘Laminar Flow', e.g. flow of highly viscous fluids at low velocities. The fluid motion that typically occurs at high velocities is characterized by velocity fluctuations are called as ‘turbulent.' The flow that alternates between being laminar & turbulent is called ‘transitional'. The dimensionless number i.e. Reynolds number is the key parameter that determines whether the flow is laminar or turbulent.
5. Steady and Unsteady flow: When there is no change in fluid property at point with time, then it implies as steady flow. However, the fluid property at a point can also vary with time which means the flow is unsteady/transient. The term ‘periodic' refers to the kind of unsteady flows in which the flow oscillates about a steady mean.
5. Natural and Forced flow: In a forced flow, the fluid is forced to flow over a surface by external means such as a pump or a fan. In other case (natural flow), density difference is the driving factor of the fluid flow. Here, the buoyancy plays an important role. For example, a warmer fluid rises in a container due to density difference.
6. One/Two/Three dimensional flow: A flow field is best characterized by the velocity distribution, and thus can be treated as one/two/three dimensional flow if velocity varies in the respective directions.
